Математик

Variables vs. Constants

Програмчлалын хувьд жижиг шийдвэрүүд нь том үр дагавартай байж болох бөгөөд таны өмнө тулгарах сонголтуудын нэг бол өгөгдлийг хувьсагч эсвэл constant хэмжээнд хадгалах уу гэдэг асуудал юм. Энэ нь жижигхэн асуудал мэт санагдаж болох ч тохиромжтойг нь ашиглах нь кодын тодорхой байдал, засвар, аюулгүй байдлыг сайжруулдаг. Variable ба constant гэж юу вэ? Хувьсагч: Хөтөлбөрийг гүйцэтгэх […]

Симметрик шифрлэлтийн аргууд: Хилл Шифр(Hill Cipher)

1. Орлуулагч (Substitution) Шифрийн Аргууд Өнөөдрийн дугаараар Хилл Шифртэй танилцацгаая. Орлуулалтын шифрийн төрөлд Полиграфик шифр-н арга гэж байдаг. Энэ нь бидний цуврал нийтлэлд “Хилл шифр” нэртэйгээр бичигдсэн байгаа. Учир нь энэ төрлийн шифрлэлтийн анхдагч нь 1929 онд Лестер Сандерс Хилл гэх эрхмийн бүтээсэн шифрлэлт юм. Энэ дугаараас эхлээд сэдвүүд маань илүү төвөгтэй, математик ойлголт шаардлагатай […]

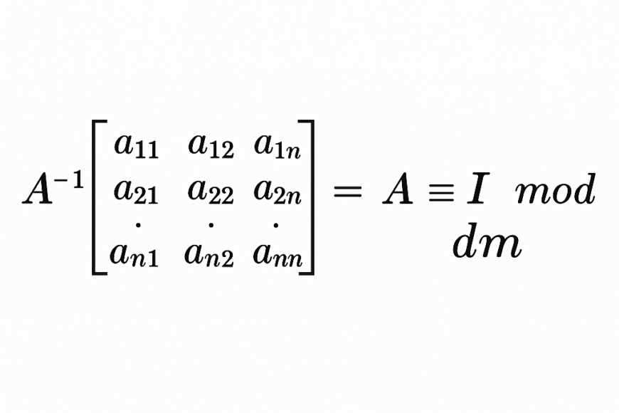
Модулийн урвуу матриц

Криптограф нь математикийн шинжлэх ухаантай нягт холбоотой байдаг учраас энэ нийтлэлээс эхлээд түгээмэл хэрэглэгддэг математик аргуудыг тайлбарлахаар боллоо. Мөн сануулж хэлэхэд нийтлэлүүдийг маань ойлгохын тулд бага зэргийн суурь мэдлэг хэрэг болох байх шүү. Юун түрүүнд “матриц” гэж юу билээ? Англиар Matrix гэдэг. 👈🏻 Энэ биш шүү 😆👌[a, b][c, d] 👈🏻ЭнэИймэрхүү форматтай 2*2-с эхлүүлээд хязгааргүй байж […]